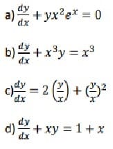
MatemáticasCálculoProfesores Ume Lee el 12 oct. 17 Encuentra la solución general a las ecuaciones diferenciales Ecuaciones diferencialesEncuentra la solución general a las ecuaciones diferenciales Seguir Siguiendo Dejar de seguir