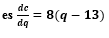
Ciencias empresariales rosa adelis... el 21 ago. 17 Cual es el numero de unidades que minimiza el costo Costo marginal c esta en dolares y q es número de unidades, costos fijos:684 dolares. Seguir Siguiendo Dejar de seguir