Integral de Línea donde C es la curva dada

Evalúa la integral de línea donde C es la curva dada en la siguiente expresión

$$\begin{align}&∫_c^.y³ ds,          C: x=t^2,      y=2t,          0 ≤         t ≤ 1 \end{align}$$

1 Respuesta

Respuesta
1

En principio tienes que llevar todo como función de t .

y^3 = 8 t^3

ds = ( x'^2 + y'^2)^1/2 =(4 t^2  +  4)^1/2 = 2( t^2 + 1)^1/2

La integral dada te quedaría así:

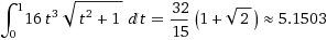
Integral sobre curva C ( 8 t^3 . 2(t^2+1)^1/2)= Integral ( 16 t^3(t^2+1)^1/2) dt  definida entre 0 y 1 .

Yo la hice por un Integrador On Line porque no me acuerdo bien como resolverla, pero debe poder hacerse por partes...

El resultado seria:

Tal vez algún experto en Matemáticas ( los hay aquí muy buenos) pueda complementar lo que te estoy diciendo.

Añade tu respuesta

Haz clic para o

Más respuestas relacionadas