Como determinar la estabilidad de la siguiente ecuación.
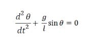
Consideremos ahora un ejemplo físico: el péndulo matemático. La ecuación del movimiento del péndulo viene dada por:

Siendo l la longitud de la varilla del péndulo y θ el ángulo que forma la varilla con la vertical.
Determine en que momento el sistema está estable y en qué momento se encuentra inestable