Ejercicios de analisis de llimites y continuidad

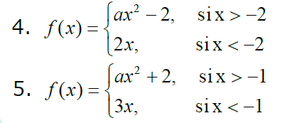
Haciendo uso de la aplicación geogebra, graficar los siguientes ejercicios

Añade tu respuesta

Haz clic para o
El autor de la pregunta ya no la sigue por lo que es posible que no reciba tu respuesta.