Evaluar las siguientes integrales impropias si convergen o divergen:

me ayudan a resolver por favor estos ejercicios de calculo integral

1 respuesta

Respuesta
2

·

¡Hola Cesar!

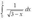
La primera es discontinua en x=3, por eso es impropia.

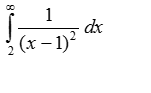
$$\begin{align}&\int_0^3 \frac{dx}{\sqrt{3-x}}=\lim_{k\to 3^-}\int_0^k (3-x)^{-\frac 12}\,dx=\\&\\&t= 3-x\\&dt = -dx\\&x=0\implies t=3-0=3\\&x=k\implies t=3-k\\&\\&= \lim_{k\to 3^-}\int_3^{3-k}-t^{-\frac 12}dt=\\&\\&\lim_{k\to 3^-} \left.-\frac{t^{\frac 12}}{\frac 12}\right|_3^{3-k}=\lim_{k\to 3^-}  - 2{\sqrt t}\bigg|_3^{3-k}=-2 \sqrt{3-3^-}+ 2 \sqrt 3=\\&\\&-2 \sqrt 0+ 2 \sqrt 3= 2 \sqrt 3\\&\\&---------------------\\&\\&\int_2^{\infty} \frac{dx}{(x-1)^2}=\\&\\&\text{es discontinua en x=1 que no pertenece al intervalo}\\&\text{de integración, luego solo es impropia por el extremo }\infty\\&\\&=\lim_{K\to \infty} \int_2^{K} \frac{dx}{(x-1)^2}=\\&\\&t=x-1\\&dt = dx\\&x=2\implies t=2-1=1\\&x=K \implies t=K-1\\&\\&=\lim_{K\to\infty}\int_{1}^{K-1}\frac{dx}{t^2}= \lim_{K\to\infty}\int_{1}^{K-1}t^{-2}dt=\\&\\&\lim_{K\to\infty} \frac{t^{-1}}{-1}\bigg|_1^{K-1}=-\lim_{K\to \infty} \frac 1t\bigg|_1^{\infty}=-\frac{1}{\infty}+\frac 11=-0+1=1\end{align}$$

Las dos son convergentes.

Y eso es todo, saludos.

:

:

Añade tu respuesta

Haz clic para o

Más respuestas relacionadas