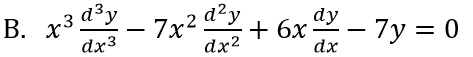
Cual de las siguientes opciones corresponde a una Ecuación diferencial ordinal de tercer orden lineal:

Indicar cual de las siguientes opciones corresponde a una Ecuación lineal ordinaria de tercer orden, incluir procedimiento y justificar respuesta:

1 Respuesta

Respuesta
1

·

·

¡Hola Panchita!

Solo la primera es lineal de orden 3, responde a la definición. La derivada de máximo orden es 3. Las derivadas y la función aparecen sin estar modificadas por ninguna función, únicamente multiplicadas por funciones que solo dependen de x. Y en el lado derecho hay una función que solo depende de x.

La B no cumple porque tenemos una función 6xy multiplicando a la derivada primera y la C no cumple por tener la función 3xy multiplicando la derivada primera. La D no es una ecuación diferencial normal sino de derivadas parciales.

Luego recuerdo, la respuesta es la A.

Y eso es todo, saludos.

:

:

Hola.. me podría por favor ayudar con el procedimiento empleando y el método adecuado para llegar a su solución general y/o particular. Muchas Gracias

En caso de que en la opción B la respuesta fuera la siguiente, igual la respuesta seguiría siendo la A.

Gracias

Espera, me equivoqué, vi derivada tercera donde era derivada primera elevada al cubo. No hay ninguna ecuación lineal de tercer orden entre las cuatro.

Si en la B hacemos el arreglo que has hecho de quitar la y en 6xy(dy/dx) entonces si que queda una ecuación diferencial de tercer orden que no son fáciles de resolver salvo en este caso particular.

Suponemos que la respuesta es y=x^m

$$\begin{align}&x^3·m·(m-1)(m-2)x^{m-3}-7x^2m(m-1)x^{m-2}+6xmx^{m-1}-7x^m=0\\&\\&m(m-1)(m-2)x^m - 7m(m-1)x^m+6mx^m-7x^m = 0\\&\\&\text{dividimos todo por }x^m\\&\\&m(m-1)(m-2) - 7m(m-1)+6m-7 = 0\\&\\&m^3-3m^2+2m-7m^2+7m+6m-7=0\\&\\&m^3-10m^2+15m - 7 =0\end{align}$$

Y no tiene respuestas racionales, no se puede pedir a un estudiante que la resuelva si no es con ayuda de un ordenador.  Fíjate aquí lo complicada que es la respuesta: Solución ecuación diferencial

Y eso es todo, saludos.

:

:

Añade tu respuesta

Haz clic para o

Más respuestas relacionadas