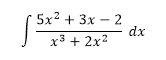
Ejercicio de calculo con integrales,método de descomposición de fracciones parciales
Evalúa cada una de las siguientes integrales usando el método de descomposición de fracciones parciales

1 respuesta
Respuesta de Valero Angel Serrano Mercadal
1