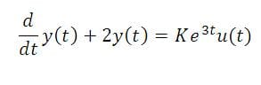
Duda sistema homogéneo y particular no lo entiendo

Sigo en las mismas no entiendo como se realiza el sistema homogéneo se supone y(t)general=y(t)homoheneo+y(t)particular pero como realizo cada uno de estos
1 respuesta
Respuesta de Valero Angel Serrano Mercadal
1
