De que manera se realizan estas "Integrales" (Definidas y por sustitución)

Como las resuelvo, no encuentro solución alguna... Necesito ayuda =(

1 respuesta

Respuesta
2
$$\begin{align}& \end{align}$$

·

·

¡Hola Vivian!

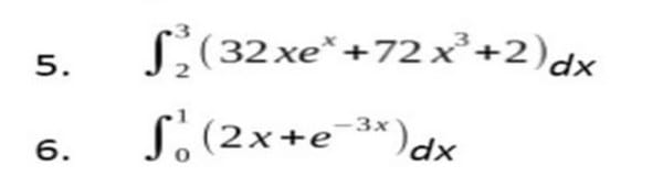
Están anunciando desde el principio la sustitución. Bien, pues si haber sido necesaria ninguna hemos pasado a otra cosa que se llama integrar por partes. De la número 5 me voy a quedar con el primer sumando para hacerlo aparte porque tiene interés por si mismo.

$$\begin{align}&\text{la fórmula para integrar por partes es:}\\&\\&\int u\,dv = uv-\int v\,du\\&\\&\\&\int 32 xe^xdx =\\&\\&u= 32x\qquad du=32\,dx\\&dv=e^xdx\quad v=e^x\\&\\&=32xe^x-\int32e^x\,dx=\\&\\&32xe^x-32e^x =\\&\\&32e^x(x-1)\\&\\&\text{Y ahora vamos con toda la integral}\\&\\&5.\quad \int_2^3(32xe^x+72x^3+2)dx=\\&\\&\left[32e^x(x-1)+18x^4+2x  \right]_2^3=\\&\\&64e^{3}+18·81+6-32e^2-18·16- 4=\\&\\&64e^3-32e^2+1458+6-288-4=\\&\\&64e^3-32e^2+1172\\&\\&-----------------\\&\\&6.\quad \int_0^1(2x+e^{-3x})dx=\\&\\&x^2\bigg|_0^1+\left( -\frac 13 \right)\int_0^1(-3)e^{-3x}dx\\&\\&1-0-\frac 13·e^{-3x}\bigg|_0^1=\\&\\&1-\frac 13(e^{-3}-e^0)=\\&\\&1-\frac{1}{3e^3}+\frac 13 = \quad \frac 43-\frac{1}{3e^3}\end{align}$$

:

:

Añade tu respuesta

Haz clic para o

Más respuestas relacionadas