Problemas física eléctrica ley de Coulomb

Son una par de ejercicios que no he logrado comprender muy bien, agradezco a quien pueda ayudarme
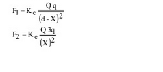
Primero: Dos esferas pequeñas con cargas positivas 3q y que están fijas en loss extremos de una varilla aislante horizontal, que se extiende desde el origen hasta el punto x=d. Como se puede observar en la figura P23.8, existe una tercera esfera pequeña con carga que puede deslizarse con libertad sobre la varilla. ¿En qué posición deberá estar la tercera esfera para estar en equilibrio?
Segundo: La separación entre dos protones en una molécula es de 3.80x10 a la menos diez m. Hallar la fuerza eléctrica ejercida entre ellos.
2 respuestas
Respuesta
1
Respuesta de albert buscapolos Ing°





