Ejercicios de limites con exponentes y logaritmo natural
Me pueden ayudar ahora con ejercicios de limites con exponentes y que tenga ln por favor. Muchísimas gracias por adelantado.
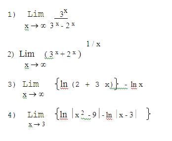
No se como escribir los ejercicios por lo estoy poniendo una imagen, ojala salga bien.

1 Respuesta
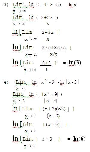
Respuesta
1





