Una duda con esta integral
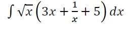
Tengo una duda con la siguiente integral

Tengo que elevar x^(1/2) y multiplicar por el resto (3x+x^-1+5), o que tendría que realizar
2 respuestas
Respuesta de Liz San
2
Respuesta
1
