Ejercicios sobre los siguientes limites

Calcular los siguientes límites

2 respuestas

Respuesta
2

Voy a hacer el segundo explicándolo un poco.

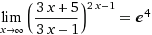
Una de las definiciones del número e es

$$\begin{align}&e=\lim_{f(x)\to \infty}\left(1+\frac{1}{f(x)}  \right)^{f(x)}\\&\\&\text{vamos a conseguir que}\\&\\&\lim_{x\to \infty}\left(\frac{3x+5}{3x-1}  \right)^{2x-1}=\\&\\&\left(\lim_{f(x)\to \infty}\left(1+\frac{1}{f(x)}  \right)^{f(x)}\right)^{g(x)}=e^{g(x)}\\&\\&3x+5-(3x-1)=6 \implies\\&\\&\frac{3x+5}{3x-1} =1+\frac{6}{3x+1}=1+\frac{1}{\frac{3x+1}{6}}\implies\\&\\&\left(1+\frac{1}{\frac{3x+1}{6}}\right)^{2x-1}=\left(1+\frac{1}{\frac{3x+1}{6}}\right)^{\frac{3x+1}{6}·\frac{6}{3x+1}·{(2x-1)}}=\\&\\&\left(\left(1+\frac{1}{\frac{3x+1}{6}}\right)^{\frac{3x+1}{6}}\right)^{\frac{12x-6}{3x+1}}\\&\\&\text{Y tomando límites}\\&\\&\lim_{x\to \infty}\left(\left(1+\frac{1}{\frac{3x+1}{6}}\right)^{\frac{3x+1}{6}}\right)^{\frac{12x-6}{3x+1}}=\\&\\&\left(\lim_{x\to \infty}\left(1+\frac{1}{\frac{3x+1}{6}}\right)^{\frac{3x+1}{6}}\right)^{\lim_{x\to\infty}\frac{12x-6}{3x+1}}=\\&\\&e^{\lim_{x\to\infty}\frac{12x-6}{3x+1}}=e^{\lim_{x\to\infty}\frac{12-\frac 6x}{3+\frac 1x}}=e^{\frac {12}{3}}=e^4\\&\end{align}$$

Y eso es todo.

Respuesta
1

La primera ya te la respondí en tu anterior pregunta.

No olvides puntuar.

Añade tu respuesta

Haz clic para o

Más respuestas relacionadas