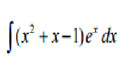
¿Como puedo resolver la siguiente integral?

Gracias por tu ayuda! :D -
........... .......................... .
1 respuesta
Respuesta de Valero Angel Serrano Mercadal
1