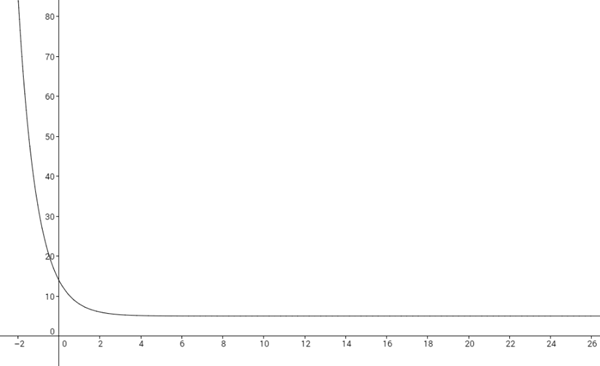
Función exponencial Y=entre parentesis 1/3 elevado a la x-2 y mas abajito +5.
Necesito esta repuesta, también me piden si es inyectiva, sobreyectiva biyectiva... Así como también la gráfica, Hallar :dominio, rango y los corte, con y con y con x
2 respuestas
Respuesta
2
Respuesta de Valero Angel Serrano Mercadal
2

