Asistencia del ejercicio dos finanza

Este ejercicio lo estaba desarrollando hallando el valor futuro en los 3 cortes donde cambia el gradiente para obtener un valor futuro final, y luego con esto quería obtener el valor de la cuota despejando; al tener la cuota hallaría el valor presente del ejercicio; pero el valor de la cuota que obtengo es erróneo para seguir realizando el ejercicio.

1 respuesta

Respuesta
2

·

Como en el anterior ejercicio, si queremos un % de ganancia sobre la inversión inicial, tendremos que hacer que el valor actual de los flujos sea la inversión inicial. Y la incógnita será esa inversión inicial que será el valor actual de los flujos.

Para calcular el valor actual hay que dividir los flujos en tres partes:

1ª) Un gradiente creciente de 4 años con q=1,20 ; valor inicial $5.000.000 y la tasa de ínteres del 18%=0.18

·

2ª) Una renta pospagable de 3 años, diferida 4 años con la consabida tasa de interés del 18%

La couta de esta renta será el valor alcanzado en el 4 año del gradiente

C=5.000.000 · (1,20)^(4-1) =8.640.000

·

3º) Un gradiente negativo de 3 años con q=1-0,25=0,75 diferido en 7 años, con valor inicial 8.640.000 y la tasa de interés de siempre del 18%

Tomemos las fórmulas y hagamos las cuentas. Perdona si no uso la notación adecuada pero no la conozco y es muy variable. Con V sub GI sub 0 querré decir el valor actual del gradiente inicial, V sub GF sub 0 el valor actual del gradiente final, V sub R sub 0 el valor actual de la rente pospagable intermedia

$$\begin{align}&\quad V_{G_0}=c\times \frac{1-q^n(1+i)^{-n}}{1+i-q}\\&\\&1ª) \quad V_{GI_0=}=5.000.000\times \frac{1-1,2^4(1,18)^{-4}}{1,18-1,20}=\\&\\&17.384.952,88\\&\\&\\&\\& 2ª)  \text{Llamando d a los periodos de diferimiento}\\&\\&V_{R_0}=(1+i)^{-d}\times C\times \frac{1-(1+i)^{-n}}{i}\\&\\&V_{R_0}=(1,18)^{-4}\times 8.640.000\times \frac{1-1,18^{-3}}{0,18}=\\&\\&9.689.464,41\\&\\&\\&\\&3ª\quad V_{GF_0}=(1,18)^{-7}\times8.640.000\times \frac{1-0,75^3(1,18)^{-3}}{1,18-0,75}=\\&\\&4.688.098,384\\&\\&\end{align}$$

Y el valor actual será la suma de estos tres

Vo = 17.384.952,88 + 9.689.464,41 + 4.688.098,384 =

$31.762.515,67

Y ese es el monto máximo que puede invertir. Si invierte menos el rendimiento será superior al 18% y si invierte más será inferior.

Y eso es todo.

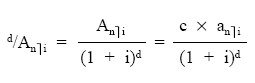
Cordial saludo profesor Valero Angel, la única inquietud o duda que tengo en la fórmula Vro y Vgfo es multiplica por el factor

Ese factor encerrado en rojo pertenece a esa fórmula ya establecido así como me la envió; o es debido al argumento del ejercicio que se debe adicionar para multiplicar. Mi duda es porque no encuentro en lo que he investigado una fórmula semejante y me parece buena si es estándar para aplicarla en estos casos.

Dependiendo del libro encontrarás esa fórmula así o como

1/(1+i)^d

O puesta en el denominador para hacerla más compacta.

Es la fórmula del valor actual de una renta pospagable al que se añade ese factor ya que esa renta no empieza a generarse en el momento 0 sino d periodos más tarde, por eso para calcular el valor actual se multiplica por ese factor, es lo que se llama descontar.

En esta página donde habla de rentas diferidas sale esa fórmula o algo que es lo mismo

http://www.matematicas-financieras.com/Rentas-Constantes-I-P18.htm

¡Gracias! profesor Valero Angel, por ayudarme ha resolver las dudas e inconvenientes sobre los ejercicios y aclararme la solución de los mismos.

Añade tu respuesta

Haz clic para o