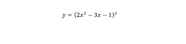
¿Cuál es el procedimiento adecuado para determinar los valores mínimos y máximos de la siguiente función matemática?
Utiliza el criterio de la primera derivada para determinar los valores máximos y mínimos de la función:

Determina también los puntos de inflexión, los intervalos de crecimiento y decrecimiento, así como los de concavidad. Muestra con claridad el procedimiento.