Planteamiento Lógico con tablas de verdad.
Necesito hacer el planteamiento de este ejercicio para desarrollarlo con tablas de verdad.
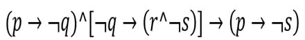
Si usted es autosuficiente entonces sus acciones no están determinadas por eventos previos. En estas circunstancias, sus acciones no son predecibles y no es posible anticipar las consecuencias de ellas. En consecuencia, si usted es autosuficiente, las consecuencias de sus acciones no se pueden anticipar.
1 respuesta
                    Respuesta de Valero Angel Serrano Mercadal                
                
        
        
            
                1
              
        
        
        
            
            
        
    
                