Calculo 3 derivadas parciales E

1 respuesta

Respuesta
1

Me está dando mucho mal el editor de ecuaciones y me cuesta como unas cinco veces responder con él. A no ser que sea una expresión muy confuso usaré el texto normal.

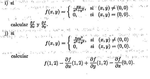
i) Si (×, y)<>(0,0) se deriva con normalidad

fx(×,y) = [y(×^2+y^2)-2yx^2]/(×^2+y^2)^2 = (y^3-yx^2)/(×^2+y^2)^2

fy(×,y) = [×(×^2+y^2)-2xy2]/(×^2+y^2)^2 = (×^3-xy^2)/(×^2+y^2)^2

Si (×,y)=(0,0)

fx(0,0) = lim h->0 de {(0+h)·0/[(0+h)^2+0^2] - 0} / h =

lim h->0 de (0/h^2)/h = lim h->0 de 0/h^3 =

Y como ya hicimos en un ejercicio anterior, en todos los puntos salvo en h=0 vale 0, luego el límite es cero

fy(×,y) es completamente análoga y vale cero.

j) Si (×,y)<>(0,0) derivamos con normalidad

fx(×,y)=[5y^2(×^2+y^2)-10x^2·y^2]/(×^2+y^2)^2 = 5y^2(×^2-y^2)/(×^2+y^2)^2

fy(×,y)=[10xy(×^2+y^2)-10xy^3]/(×^2+y^2)^2 = 10yx^3/(×^2+y^2)^2

Si (×,y)=(0,0)

fx(0,0) = lim h->0 de {5(0+h)0^2/[(0+h)^2+0^2] - 0} / h =

lim h->0 de (0/h^2)/h = lim h->0 de 0/h^3

Y es lo mismo de antes, vale cero

fy(0,0) = lim h->0 de {5·0·(0+h)^2/(0+(0+h)^2 - 0} / h =

lim h->0 de (0/h^2)/h = lim h->0 de 0/h^3 = 0

Nos piden hallar f(1,2) - fx(1,2) + fx(1,2) - fx(0,0)

f(1,2) = 5·1·2^2/(1^2+2^2) = 20/5 = 4

fx(1,2) = 5·2^2(1^2-2^2)/(1^2+2^2)^2 = 20(-3)/5^2 = -60/25 = -12/5

fy(1,2) = 10·2·1^3/(1^+2^2)^2 = 20/25 = 4/5

fx(0,0)=0

Y el resultado es:

f(1,2) - fx(1,2) + fx(1,2) - fx(0,0) = 4-(-12/5)+(4/5)-0=(20+12+4)/5 = 36/5

Y eso es todo.

Añade tu respuesta

Haz clic para o

Más respuestas relacionadas