Necesito consejo para resolver ejercicio de matemáticas al despejar incógnita de la ecuación
Hola, disculpe que sea la misma pregunta
pero la respuesta que dio en
-%283.2%2Fx^2%29]http://www.wolframalpha.com/input/?i=2.7%3D[4%2F%2812-x%29^2]-%283.2%2Fx^2%29+
para este ejercicio
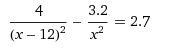
2.7=[4/(12-x)^2]-(3.2/x^2)
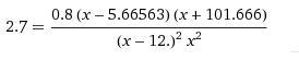
No entiendo como ha obtenido el numerador en el tercer pasa
y de hay como despejo x
podría resolverlo detalladamente
pero la respuesta que dio en
-%283.2%2Fx^2%29]http://www.wolframalpha.com/input/?i=2.7%3D[4%2F%2812-x%29^2]-%283.2%2Fx^2%29+
para este ejercicio
2.7=[4/(12-x)^2]-(3.2/x^2)
No entiendo como ha obtenido el numerador en el tercer pasa
y de hay como despejo x
podría resolverlo detalladamente
Respuesta de skakero
1



