Valero Angel Serrano Mercadal

Valero Angel Serrano Mercadal

Me voy x tiempo. Necesito hacer otras cosas, descansar y que cambien algunas cosas.
 5.867K puntos  Aragón, España @valeroasm desde - visto

Respuestas en Ingeniería Informática

Respuesta en y en 4 temas más a

¿Está bien la solución de la siguiente integral con un Teorema?

· · ¡Hola Mario alejandro! Ahora mismo no puedo comprobarlo, pero fíjate si te sirve este vídeo que es un poco caótico pero al final corrige los errores. https://youtu.be/yRTgTP4yRd4 Saludos. : :
Respuesta en y en 4 temas más a

Demostración probabilidad condicionada como verdadera P.Axiomática

· · ¡Hola Anónimo! Sea C el conjunto al que condicionamos la probabilidad, dado un conjunto A tendremos Y eso es todo, esperoque te sirva y lo hayas entendido. Si no es así pregúntame. Y si ya está bien, no olvides puntuar. Saludos. : .
Respuesta en y en 3 temas más a

Problema distribución normal de un CPU

· · ¡Hola Susana! Debemos hallar la probabilidad de que el tiempo este comprendido entre 1.52 y 3.52 Si conocemos un poco la simetría respecto de la media de la distribición normal sabemos que la probabilidad entre 1.52 y 2.52 es la misma que entre...
Respuesta en y en 1 temas más a

Agradezco de su colaboración con esta ecuación diferencial por método de separación

· · ¡Hola Sergio! El método de separación es muy sencillo, consiste en si se puede llevar a la izquierda una función que solo dependa de y multiplicada por el dy y a la derecha una que solo dependa de x por el dx. Ten en cuenta que una de las dos...
Respuesta en y en 2 temas más a

Como desarrollar : Máximos, mínimos y gráfica de una función

· · ¡Hola Julio! Ahora no tengo tiempo, solo calcularé los máximos, mínimos y la gráfica será dentro de unas horas. Y eso es todo de momento. Saludos. · ·
Respuesta en y en 3 temas más a

Como solucionar: Máximos, mínimos y gráfica de una función

· · ¡Hola Julio! En la pregunta anterior casi me dejo la vida con la representación gráfica, aquí me pido el problema de máximos-mínimos. Bueno, en realidad siempre he hecho el ejercicio primero de cada una. Máximos y mínimos de f(x) = x^2 - 4x + 7...
Respuesta en y en 3 temas más a

Resolver Aplicación de la derivada

· · ¡Hola Julio! Haré el primero de los ejercicios, los otros deberás mandarlos en otras preguntas distintas si no te los quiere hacer otra persona. a) Se trate de un polinomio, es una función que apenas tiene problemas porque esta definada en todo...
Respuesta en y en 2 temas más a

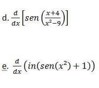
Como solucionar Derivada de funciones trascendentes

· · ¡Hola Johan! : :
Respuesta en y en 2 temas más a

Me piden hallar elipse geometría analítica

Los ejes son x=-1 y=2 Luego ya sabemos que el centro es (-1,2) Y con ello la ecuación canónica de la elipse será : :
Respuesta en y en 1 temas más a

Ejercicio, distribución de probabilidad, probabilidad binomial.

· · ¡Hola Carlos! Yo diría que falta algo en el enunciado. Pero si no falta nada entonces supondré que lo que preguntan es que todas sean mujeres. La probabilidad de que la primera sea mujer es 0.15 La probabilidad de que la primera lo sea y la...