teresa Fernández

teresa Fernández

 Galicia, España @tatifdezbtez desde - visto
Preguntar

Preguntas

Pregunta en

De dónde sale el 2 al factorizar este polinomio? Y el 6?

Si multiplico (x+4)(x-7/2) no me da, obviamente, 2x^2+x-28 pero sigo sin saber de donde sale el 2 de delante que multiplica todo.
Pregunta en

Factorización de polinomios, no entiendo de donde sale algún número

Buenos días: Espero que me podáis ayudar. En este ejercicios entiendo las raíces (x+4).(x-7/2) pero no entiendo de donde saca el 2 que pone delante. Lo mismo me sucede al factorizar 6x^3+7x^2-9x+2 entiendo que las raíces son (x+2)(x-1/6)(x-1/3) pero...
Pregunta en

Descomponer en factores un polinomio

Buenos días, a ver si me podéis ayudar. Entiendo lo de las raices (x+4).(x-7/2) pero no entiendo de donde se saca el 2 que aparece delante. Me ha pasado lo mismo al factorizar 6x^3+7x^2-9x+2, las raíces son (x+2)(x-1/6)(x-1/3) pero se "saca de la...
Sin respuestas
Pregunta en

Problemas de sucesiones, como resolverlos

Tengo dos problemas de sucesiones que, por la "cuenta de la vieja", ¿Sé resolverlos pero matemáticamente no. Me podéis ayudar? No sé que es a1 an n... 1.- Un reloj de pared da campanadas a la hora en punto, a las medias y a los cuartos. A la hora en...
Pregunta en

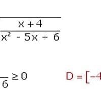
No entiendo por qué los dominios son distintos en las siguientes funciones racionales

No entiendo el por qué de los dominios distintos. Al fin y al cabo si cambio, para resolver, -x^2+6x-8=0 por x^2-6x+8 llego a la misma ecuación que en el ejercicio 3.
Pregunta en

No entiendo el por qué de estos dos dominios

No entiendo por qué el dominio del ejercicio 3 es distinto al del ejercicio 4 cuando, si en el 4, paso de -x^2+6x-8=0 a x^2-6x+8=0 me queda exactamente la misma ecuación que en el ejercicio 3.
Pregunta en

Calculo del dominio de una función

No entiendo el resultado del dominio de esta función irracional. ¿Me lo podéis explicar? Gracias
Pregunta en

Ejercicios de Física-Cómo resolverlos

Tengo estos ejercicios de Física. ¿Podéis ayudarme a resolverlos? Gracias

Calculo de la presión del agua

Me piden calcular la presión que ejerce el agua en el fondo de un recipiente siendo la altura del agua 10 cm. El ejercicio está resuelto de la siguiente manera: P=d.g.h=1000 kg/m3 . 9,8 m/s2 . 0.1 m=980 Pa Yo lo hice de otra forma y no me da el mismo...
Pregunta en

Cómo resuelvo estas ecuaciones exponenciales?

Normalmente siempre elijo ejercicios resueltos pero, como se me daban bien, he elegido estas ecuaciones exponenciales pero me dan una solución muy "rara": raíz negativa, raíz de 88... ¿Me podéis echar una mano? Gracias anticipadas

Suscríbete RSS