Actividad pública reciente
Ha valorado "Excelente" la respuesta
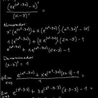
Quiero resolver este límite cuando x tiende a 3, (xe^(x^2-3X)-x)/(x-3)
Ha empezado a seguir el tema Matemáticas
