Pregunta en
Matemáticas
y en 2 temas más
Resolver los siguientes ejercicios de simetría y comprobar en geogebra
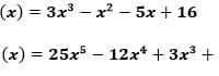
Pregunta en
Matemáticas
Para la función dada determine la solución real del respectivo dominio y rango y compruebe con Geogebra:
Pregunta en
Matemáticas
y en 2 temas más
Resuelve los siguientes problemas por el método Gauss Jordán.
Pregunta en
Matemáticas
y en 1 temas más
Enunciados denominados silogismos representar gráficamente con el uso del Diagrama de Venn
Pregunta en
Matemáticas
y en 2 temas más
Hacer la tabla de verdad del siguiente enunciado
Pregunta en
Matemáticas
y en 1 temas más
Uno de los temas que en este segundo semestre del año 2016 llama la atención en Colombia es el proceso de paz con las FARC
Pregunta en
Matemáticas
y en 1 temas más
Evaluación se física primer tema
Pregunta en
Física
y en 1 temas más
