Juan Garnica

Juan Garnica

 Colombia @juanc90 desde - visto
Preguntar

Preguntas

Pregunta en

Descomposición de Jordan-Chevalley: ¿Cómo desarrollarla?

Buen@ días / noches. Quisiera saber qué pasos debo seguir para expresar una matriz A como la suma de dos matrices (S y N) de forma que N sea nilpotente. PD: He leído algo al respecto en internet y parece ser el mismo proceso de descomposición de...
Sin respuestas
Pregunta en y en 2 temas más

Tiempo en formato UTC - ¿Cómo leerlo?

Tengo miles de datos como este: 1330609680 (Ordenados automáticamente por computadora). Ellos representan un instante de tiempo determinado en algún lugar del mundo. ( * UTC) La cuestión es: ¿Qué información puedo obtener a partir de ellos y/o cómo...
Pregunta en

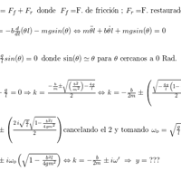
Deducción de ecuaciones de un péndulo simple amortiguado?

Buen día/tarde/noche Quisiera saber cómo puedo deducir las ecuaciones del movimiento para un péndulo simple sin fricción para ángulo ? (respecto a la posición de equilibrio) menor a los 30° sin necesidad de usar el modelado de un movimiento armónico...
Sin respuestas

Suscríbete RSS