Pregunta en
Matemáticas
y en 1 temas más
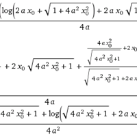
Hallar las alturas del cono y cilindro para área superficie mínima
Pregunta en
Matemáticas
y en 1 temas más
La resistencia de una viga de sección trasversal rectangular es proporcional al producto de su ancho y al cuadrado de su alto.
Alguien que me pueda colaborar con este ejercicio. Gracias La resistencia de una viga de sección trasversal rectangular es proporcional al producto de su ancho y al cuadrado de su alto. Encuentre las dimensiones de la viga rectangular más resistente...
Pregunta en
Matemáticas
y en 1 temas más
Calcular el volumen de la región del primer octante acotada por los planos coordenados
Alguien me podría colaborar con este ejercicios, muchísimas gracias. Calcular el volumen de la región del primer octante acotada por los planos coordenados y los planos X+ Z = 1 y Y+2Z=2
Pregunta en
Matemáticas
y en 1 temas más
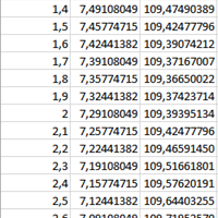
Calcular las alturas del cono y cilindro para área superficie mínima con canalón base circular y lados rectos
Se quiere construir un canalón para lluvia con corte transversal teniendo en cuenta que la base es circular y los lados son rectos, de tal manera que la capacidad sea máxima. Plantee el modelo que optimiza la capacidad que del canalón. (Solo plantear...
Pregunta en
Matemáticas
y en 1 temas más
Plantee el modelo que optimiza la capacidad del canalón.
Pregunta en
Matemáticas
Calcular las alturas del cono y cilindro para área superficie mínima
Pregunta en
Matemáticas
Ecuación del plano que contiene un recta
Me piden encontrar, si es posible, la ecuación del plano que contiene la recta: (t+1, t+2,-2t+1).
