Pregunta en
Matemáticas
Tenemos dos congruencia con el mismo módulo que sabemos son verdaderas, tal que 9≡2(mod 7) y 17≡3(mod 7). Ahora piensa en un...
Divisibilidad y Congruencia Tenemos dos congruencia con el mismo módulo que sabemos son verdaderas, tal que 9≡2(mod 7) y 17≡3(mod 7). Ahora piensa en un entero y multiplícalo en ambas congruencias. Revisa si las congruencias aún se mantienen,...
Pregunta en
Matemáticas
Teorema de Fermat, encontrar el residuo cuando 5^1000 es dividido por 126.
Divisibilidad y Congruencia. Empleando el Teorema de Fermat. Encontrar el residuo cuando 5^1000 es dividido por 126.
Sin respuestas
Pregunta en
Matemáticas
Halla el residuo módulo 7 del resultado de la siguiente operación
Divisibilidad y congruencia Halla el residuo módulo 7 del resultado de las siguientes operaciones (a)2345 + 214 · 432 (b)2419 + 987 Se que el resultado es: (a)2345 + 214 · 432=6 (b)2419 + 987=4 Pero por qué
Sin respuestas
Pregunta en
Matemáticas
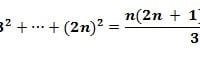
Demostrar por inducción matemática que:Para cada n≥1, la suma de los cuadrados de los primeros números enteros positivos 2n...
Inducción matemática Demostrar por inducción matemática que: Para cada n≥1, la suma de los cuadrados de los primeros números enteros positivos 2n está dada por la fórmula:
Sin respuestas
Pregunta en
Matemáticas
Demuestra la equivalencia del principio del buen orden y el principio de inducción
Principio del buen orden Demuestra la equivalencia del principio del buen orden y el principio de inducción.
Sin respuestas
Pregunta en
Matemáticas
Demuestra el siguiente ejercicio por el principio del buen orden. 5n + 5≤ n 2 para todo entero n ≥ 6
Principios del buen orden Demuestra el siguiente ejercicio por el principio del buen orden. 5n + 5≤ n 2 para todo entero n ≥ 6
Sin respuestas
Pregunta en
Matemáticas
Demostrar: Sea n un número natural, de tal manera que 5 veces n más cinco es menor o igual que 2 elevado a la n-ésima potencia.
Introducción Matemática Demostrar por inducción matemática que : Sea n un número natural, de tal manera que 5 veces más cinco es menor o igual que 2 elevado a la n-ésima potencia.
Sin respuestas
Pregunta en
Matemáticas
Para cualesquiera m, n ∈ N, m · n = n · m (es decir, el producto es conmutativo)
Suponiendo que tenemos un conjunto N, cuyos elementos de este conjunto se llaman números naturales. Se nos dan dos números naturales, m y n, y hay definidos dos nuevos números naturales, llamados respectivamente suma y producto de m y n, y...
Sin respuestas
Pregunta en
Matemáticas
Demostrar: Si m ∙ n = m ∙ p y m ≠ 0 entonces n = p. Conjuntos de números
Conjuntos de números Suponiendo que tenemos un conjunto N, cuyos elementos de este conjunto se llaman números naturales. Se nos dan dos números naturales, m y n, y hay definidos dos nuevos números naturales, llamados respectivamente suma y producto...
Sin respuestas
Pregunta en
Matemáticas
Existe en N un elemento, representado por 1 tal que para cada m ∈ N se tiene que m∙ 1 = m (existencia de elemento neutro para...
Conjunto de números Suponiendo que tenemos un conjunto N, cuyos elementos de este conjunto se llaman números naturales. Se nos dan dos números naturales, m y n, y hay definidos dos nuevos números naturales, llamados respectivamente suma y producto de...
Sin respuestas