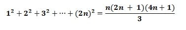
Demostrar por inducción matemática que:Para cada n≥1, la suma de los cuadrados de los primeros números enteros positivos 2n...
Inducción matemática
Demostrar por inducción matemática que:
Para cada n≥1, la suma de los cuadrados de los primeros números enteros positivos 2n está dada por la fórmula:
