Hernan Serrato

Hernan Serrato

 Colombia @hernanserrato desde - visto
Preguntar

Preguntas

Pregunta en y en 1 temas más

Determinar la asíntotas verticales; si existen de la función,

... ________________________________________________________
Pregunta en y en 2 temas más

Necesito determinar el limite de_______?

----------------------------------------------------------------------------------------------------------------------------------------
Pregunta en y en 2 temas más

Para determinar el limite de_____________?

_________________________________________________________________
Pregunta en y en 4 temas más

Bases de datos Básico Realizar el modelo lógico de un caso

Necesito ayuda con el modelo Lógico del siguiente caso, establecer las relaciones y los campos
Sin respuestas
Pregunta en y en 2 temas más

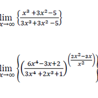
Determinar los límites de las siguiente ecuaciones

________________Determinar los limites de la siguientes ecuaciones (esto es solo para cumplir con la cantidad de caracteres exigidos para poder publicar la pregunta)
Pregunta en y en 2 temas más

Aplicando las propiedades de los limites si lim?→? ?(?) = 5 determinar

A) lim?→?[?(?)]^3 b) lim?→?[4?(?)−10]
Pregunta en y en 2 temas más

Demostrar que el límite de la función (5x+ 3), cuando x tiende a 3 es 18

---------------------- 1. Demostrar que el límite de la función (5x+ 3), cuando x tiende a 3 es 18 -----------------------
Pregunta en y en 1 temas más

Z=316 Se está excavando un pozo para encontrar petróleo,

El gerente de la obra requiere saber cuántos metros de excavación van hasta el momento y solo conoce que el costo del primer metro excavado es de 1000(Z), el costo por metro adicional es de 10.000 y a la fecha se han invertido 1.000.000 para la...
Pregunta en y en 2 temas más

Z=316 Encuentre el primer término de una progresión

Cuya diferencia común es 1/4 y la suma de sus tres primeros términos es Z. Adicionalmente, plantee el término general.
Pregunta en y en 2 temas más

Z=316 Plantee el término general de una progresión geométrica cuyo primer término es Z yla razón común es Z.

Adicionalmente encuentre la suma de los primeros 5 términos y el valor del décimo término