Pregunta en
Matemáticas
Programación lineal sobre problemas para desarrollar en la unad
Pregunta en
Matemáticas
Los puntos singulares de la ecuación diferencial: (t^2-t-2) x ̈+(t+1) x ̇-(t-2)x=0 son:
Sin respuestas
Pregunta en
Matemáticas
y en 1 temas más
Sabiendo que el teorema de Frobenius dice: Si x=x_0 es un punto singular regular de la ecuación diferencial ordinaria a_2 (x) y
Pregunta en
Matemáticas
Una persona de 70 kg de masa se lanza en una práctica de bungee jumping. Si en el tiempo t=0 la banda elástica ha cedido 8 metro
Una persona de 70 kg de masa se lanza en una práctica de bungee jumping. Si en el tiempo t=0 la banda elástica ha cedido 8 metros y la velocidad de ascenso es de 30m/seg, Halle la función x(t) que describe el movimiento libre resultante si se sabe...
Sin respuestas
Pregunta en
Matemáticas
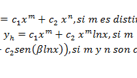
Para encontrar la solución de una ecuación homogénea asociada diferencial de segundo orden con coeficientes
Ecuaciones diferenciales Para encontrar la solución de una ecuación homogénea asociada diferencial de segundo orden con coeficientes variables se procede sustituir y luego se encuentran las raíces de la ecuación de segundo grado originada, de tal...
Sin respuestas
Pregunta en
Matemáticas
Álgebra lineal solucionar este problema
Un granjero tiene tres fincas que producen cebada, trigo y colza. En la finca Villa María produjo 3.4 toneladas de Cebada. 1.9 toneladas de trigo y 0.8 toneladas de colza. Por la venta de lo producido en esta finca ganó 2631000 unidades monetarias....
Pregunta en
Matemáticas
De una empresa que produce elementos arquitectónicos, se tiene la siguiente información: algebra lineal
Pregunta en
Matemáticas
5. Determine el Polinomio de Interpolación de Lagrange para la siguiente tabla. X 1 3 5 7y -2 1 2 -3
Sin respuestas
Pregunta en
Matemáticas
3. Solucione el siguiente sistema de ecuaciones utilizando el Método de Jacobi5x + 3y - z = 12-x + 9y + 5z = 62x + 3y - 7z
Solucione el siguiente sistema de ecuaciones utilizando el Método de Jacobi 5x + 3y - z = 12 -x + 9y + 5z = 6 2x + 3y - 7z = 4 Utilizar un ξ < 1% Ayuda con este ejercicio no me da ...
Sin respuestas
Pregunta en
Matemáticas
7. Dados los puntos: (-4.5, 0.7), (-3.2, 2.3), (-1.4, 3.8), (0.8, 5.0), (2.5, 5.5), (4.1, 5.6) determine los polinomios
Dados los puntos: (-4.5, 0.7), (-3.2, 2.3), (-1.4, 3.8), (0.8, 5.0), (2.5, 5.5), (4.1, 5.6) determine los polinomios de grado 4 y 5. Graficar para determinar la curva más aproximada. Area de metodos numericos
Sin respuestas
