Gera Gorgoretti

Gera Gorgoretti

 Argentina @gerardo3090 desde - visto
Preguntar

Preguntas

Pregunta en

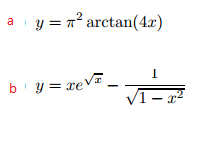
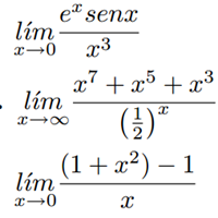
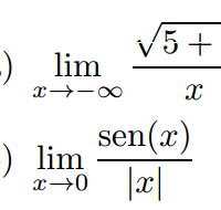
¿Cómo se resuelven estos limites?

Sin respuestas
Pregunta en

Problema con Pascal

Hola, el problema que tengo pasa con cualquier programa que haga, pongo un ejemplo fácil para mostrarles. Program contarcaracteres; var cant:integer; letra:char; begin cant:=0; read(letra); while(letra<>'!')do begin cant:=cant+1; read(letra); end;...
Pregunta en

¿Cómo se resuelve este ejercicio?

Suponga que la derivada de la función y = f(x) es y' = (x-1)^2 * (x-2). ¿En que punto, si hay alguno, tiene la gráfica de f un mínimo local y/o un máximo local?
Pregunta en

¿Cómo se hace este ejercicio?

Muestre que la curva y = 6^3 + 5x - 3 no tiene una recta tangente con pendiente igual a 4.
Pregunta en

¿Cómo se hace este ejercicio?

Sea a un angulo del tercer cuadrante ubicado en intentar normal. Sea P un punto sobre el lado terminal, cuya abscisa esta en -2 y la distancia al origen es menos raíz de 3. Gráfica a y calcula sen a y cos (2a).
Pregunta en

¿Cómo se hace este ejercicio?

Como calcular el perímetro del área sombreada de la siguiente imagen.

Suscríbete RSS