Pregunta en
Ingeniería Electrónica
y en 2 temas más
¿Como simulo este circuito en protoboard?
Pregunta en
Redes de computadores
y en 1 temas más
¿Que errores tengo en esta red? Son rutas estáticas
En la red no hay una comunicación entre todos los host no encuentro donde estoy mal https://www.dropbox.com/s/auent82pmdfhx7x/Evidencia.pkt?dl=0
Pregunta en
Matemáticas
¿Cómo realizo este problema para graficar?
Cómo arreglar las funciones presentadas aplicando la forma alternativa del segundo teorema de traslación y usarlas directamente para encontrar la Transformada de Laplace
Sin respuestas
Pregunta en
Matemáticas
y en 2 temas más
Ayuda para este problema de la transformada de Laplace utilizando un teorema de traslación
Encuentra la transformada de Laplace de: Determina la transformada de Laplace de la función cuya gráfica se muestra a continuación:
Sin respuestas
Pregunta en
Matemáticas
Solve using laplace transform y''+y=cos(2t), y(0)=1, y' (0)=-1
Ayuda para este problema solve using laplace transform y''+y=cos(2t), y(0)=1, y' (0)=-1
Sin respuestas
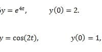
Pregunta en
Matemáticas
Ayuda problemas utilizando la transformada de Laplace
Hola vengo pidiendo su ayuda con estos dos problemas con condiciones iniciales utilizando la transformada de Laplace
Sin respuestas
Pregunta en
Matemáticas
