Buscar
Descubre en Todoexpertos
Temas interesantes
Preguntas
Respuestas
Expertos
Logros
Iniciar sesión
Entrar
Crear cuenta
Compartir
Compartir perfil de usuario
Todoexpertos
Facebook
Twitter
Google+
Bloquear
Desbloquear
Marcar como inadecuado
Diego Custodia
"Una vida con meta es una vida completa"
@diegocustodia
desde
sep. 2022
- visto
oct. 2022
Preguntar
Seguir
Siguiendo
Dejar de recibir notificaciones
Recibir notificaciones
Dejar de seguir
Resumen
Preguntas
Respuestas
Temas
Reputación
Siguiendo
Respuestas
Respuesta en
Matemáticas
a
codeboy
el 13 sep. 22
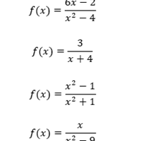
Matemáticas: valores para los cuales las funciones son discontínuas
Tengo una duda sobre cómo se determinan los valores para los cuales el denominador de la función es cero, ¿Solo quería saber si tu me pudieras ayudar en alguna de estas estas funciones?
2 respuestas
Responder
Suscríbete
RSS