Pregunta en
Ciencias e Ingeniería
y en 3 temas más
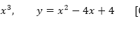
Problema de calculo integral A entre curvas
Pregunta en
Matemáticas
y en 3 temas más
Actividad de calculo área entre las curvas
Pregunta en
Matemáticas
y en 1 temas más
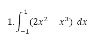
Calcular integral indefinida y evaluar intervalos
Resolver la integral indefinida, graficar y evaluar intervalos
Pregunta en
Matemáticas
y en 1 temas más
Resolver la integral indefinida con intervalos
Pregunta en
Matemáticas
y en 3 temas más
Problema de aplicación de calculo integral
Pregunta en
Matemáticas
y en 3 temas más
Realizar el siguiente ejercicio de calculo integral
Soluciona la Integral indefinida y evalúa sus intervalos dados, por favor si podrían indicar en especifico la parte de los intervalos estaría perfecto:
Pregunta en
Matemáticas
y en 3 temas más
Resaliza la Integral indefinida y evalúa sus intervalos dados
Requiero de resolver esta integral indefinida, la instrucción dice como el titulo de la pregunta, y la integral es:
Pregunta en
Ciencias e Ingeniería
y en 2 temas más
Resolver la siguiente integral indefinida
Se requiere de solucionar el siguiente problema para resolver la Integral indefinida y evaluar sus intervalos dados
Pregunta en
Matemáticas
y en 3 temas más
Calculo integral :Problemas con integrales
Resuelve la Integral indefinida y evalúa sus intervalos dados
Pregunta en
Matemáticas
y en 3 temas más
Elabora el siguiente ejercicio de integrales
B) Encontrar la solución para la integral planteada en el presente inciso
