Comercio internacional

0 seguidores
Este tema está pendiente de aprobación
Preguntar
Pregunta en y en 4 temas más de

Trámite necesario importar/exportar cremas de China

Quiero6 obtener información sobre el reglamento actual aplicable a la venta online de productos cosméticos. Somos dueños de una tienda de dropshipping y nos gustaría asegurarnos de los procedimientos necesarios para llevar a cabo la comercialización...
Sin respuestas
Pregunta en y en 4 temas más de

Algún Lic en Comercio Exterior que sea gustoso de concederme una entrevista hoy o mañana

Tengo que hacer una entrevista en Inglés de preferencia, y la persona que tenía contemplada me canceló, y no conozco a nadie quien pueda, seria por zoom o meet.
Sin respuestas
Pregunta en y en 3 temas más de

Impuestos generales aplicables a lastransacciones de comercio exterior

Menciona qué leyes afectan las contribuciones relacionadas con operaciones del comercio exterior y cuál es su fundamento jurídico dentro de cada ley
Sin respuestas
Pregunta en y en 2 temas más de

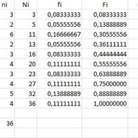
Continuamos con el desarrollo de este trabajo

Bueno ahora, nos proporcionan los reportes mensuales de los últimos tres años… 2007 2008 2009 151 156 154 152 157 155 153 159 158 152 150 152 157 158 159 158 157 155 152 151 155 156 152 155 159 154 153 152 154 150 159 158 150 156 158 157 Ahora has un...
Pregunta en y en 3 temas más de

Datos agrupados que se deben de resolver

Segunda parte del problema a resolver. Ahora vamos a desarrollar un estudio de estadística descriptiva, para datos AGRUPADOS. 2007 2008 2009 151 156 154 152 157 155 153 159 158 152 150 152 157 158 159 158 157 155 152 151 155 156 152 155 159 154 153...
Pregunta en y en 3 temas más de

Ahora vamos a desarrollar un estudio de estadística descriptiva, para datos AGRUPADOS.

Bueno ahora, nos proporcionan los reportes mensuales de los últimos tres años… Ahora vamos a desarrollar un estudio de estadística descriptiva, para datos AGRUPADOS. 2007 2008 2009 151 156 154 152 157 155 153 159 158 152 150 152 157 158 159 158 157...

¿Cuál es el plazo de entrega normal de compra futura de petróleo?

Quisiera saber cual es el plazo normal de tiempo que se da en las compras de futuro de petróleo. Gracias.
Sin respuestas
Pregunta en y en 1 temas más de

Necesito saber que países compran productos con sello verde (FSC) de Perú

Donde puedo encontrar información sobre los países que compran productos certificados de Perú
Sin respuestas