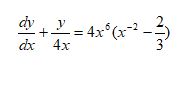
Ecuación aplicando el método de Bernoulli

Resolver la Ecuacion aplicando el metodo de Bernoulli                                          

Añade tu respuesta

Haz clic para o