Como resolver este problema de transferencia de lazo abierto
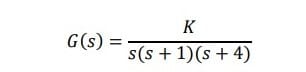
Sea el sistema con realimentación unitaria cuya función de transferencia en lazo abierto es
Diseñe un compensador??(?) de retardo – adelanto tal que la constante de error estático de velocidad sea de 10 seg−1, el margen de fase sea de 50° y el margen de ganancia sea al menos de 10??.
