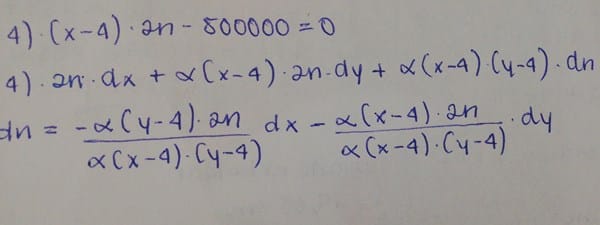
MatemáticasCálculoAsignaturas Básicas María Teresa Sánchez el 28 nov. 19 ¿Esta fracción se puede simplificar? Necesito saber si esta fracción se puede simplificar o es mejor dejarla así. Seguir Siguiendo Dejar de seguir