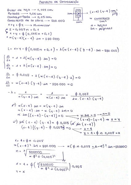
Diferencial de la derivada segunda con el método de Lagrange


Hola, muy buenas tardes, este es un problema de optimización por multiplicadores de Lagrange, la cual no consigo sacar la segunda derivada de los diferenciales, me harían un gran favor si pudieran ayudarme a resolverlo desde el planteamiento que dale allí, el cual debe dar un mínimo.
Si sirve de motivación, se ofrece un pago por PayPal o transferencia.