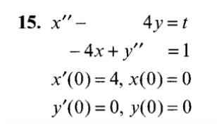
MatemáticasCálculo Luis Lopez el 18 abr. 19 Sistema de ecuaciones diferenciales con transformada de Laplace Con su explicación paso a paso. Seguir Siguiendo Dejar de seguir