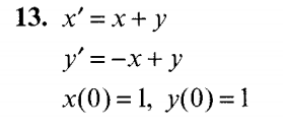
MatemáticasCálculo Luis Lopez el 18 abr. 19 Resolver con la transformada de Laplace el ejercicio de sistema de ecuaciones diferenciales Con su explicación. Seguir Siguiendo Dejar de seguir