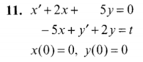
MatemáticasCálculo Luis Lopez el 18 abr. 19 Resolver paso a paso este ejercicio de sistema de ecuaciones diferenciales Con transformada de Laplace. Seguir Siguiendo Dejar de seguir