Un ejemplo de como se resuelve este ejercicio de limite y continuidad
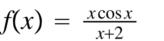
Determinar las asíntotas verticales y el comportamiento asintótico por izquierda y por derecha de las mismas, para:

Determinar las asíntotas verticales y el comportamiento asintótico por izquierda y por derecha de las mismas, para:
