Aplicaciones del Teorema de Bernoulli.
Por una tubería horizontal, circula agua de mar, como parte de un proyecto de investigación, desarrollado por uno de los grupos de física de la UNAD. La tubería inicialmente tiene un diámetro de d1 cm (6,80) y se estrecha hasta tener un diámetro de d2 cm (4,20). Uno de los objetivos del proyecto, consiste en determinar el caudal volumétrico del agua de mar. Cuando el agua de mar fluye por la tubería, la presión manométrica en las dos secciones son de P1 kPa (30,9 x10³) y P2 kPa (24,8 x10³) respectivamente. Con base en esta información, determine el valor del caudal volumétrico o gasto del agua de mar.
Hallar velocidades con la ecuación de continuidad A1*V1=A2*V2
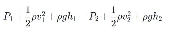
Aplicar el Teorema Bernoulli
