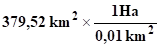
379,52 Km2, exprese esta área en Ha.
El municipio de Mariquita – Tolima tiene una superficie de 379,52 Km2, exprese esta área en Ha.
Alguien sabe que me pueda ayudar
1 Respuesta
Respuesta de Luis Alberto Candio Salcedo
1
