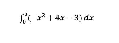
CálculoMatemáticas Angy Mike Juaritoz el 21 mar. 18 Apoyo para resolver por el método de suma de Riemann Resolver por medio de suma de Riemann ya que la integral me da un valor de -20/3=-6.6667 Seguir Siguiendo Dejar de seguir