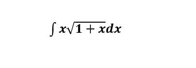
Apoyo con integración por partes, como resolver el siguiente problema.
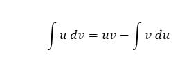
Resolver le siguiente ejercicio por integración por partes a través de la fórmula siguiente:


Resolver le siguiente ejercicio por integración por partes a través de la fórmula siguiente:

