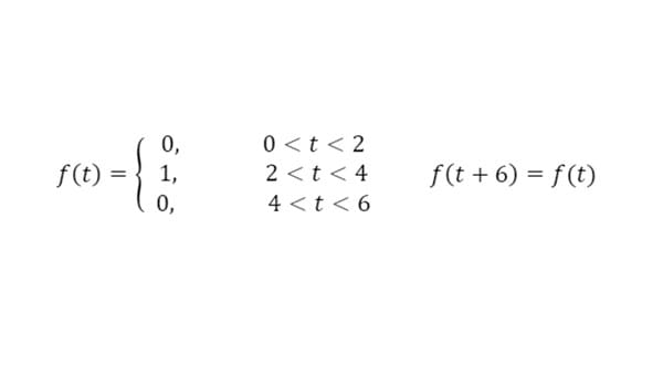
MatemáticasCálculo Gerardo Castro el 12 feb. 18 Encontrar la serie de Fourier Quiero encontrar la serie de Fourier del siguiente ejercicio Seguir Siguiendo Dejar de seguir