Calculo diferencial La solución general de la ecuación y´´(x)+y(x)=0 mediante series de potencia es:
La solución general de la ecuación y´´(x)+y(x)=0 mediante series de potencia es:

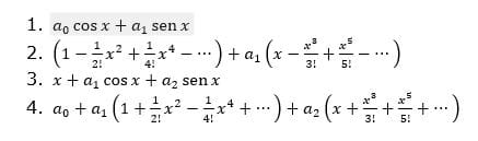
La solución general de la ecuación y´´(x)+y(x)=0 mediante series de potencia es:
